Coefficient of determination
R² > 0.99
Technology

Overview
Machine Learning (ML) has become a powerful tool for extracting meaningful information from complex experimental data that are difficult to interpret using traditional analytical methods alone. In battery research, electrochemical impedance spectroscopy (EIS) produces rich but highly convoluted datasets that reflect multiple physical and chemical processes occurring simultaneously at interfaces and within materials. Interpreting these spectra in real time is especially challenging for solid-state batteries, where interfacial degradation and transport phenomena evolve continuously during cycling.
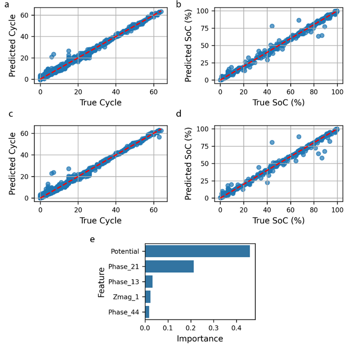
Within the NEVORA platform, we apply machine learning to transform each EIS spectrum into a structured set of physically informed features that capture key frequency-dependent responses of the battery. These features are then used to train supervised regression models capable of predicting critical battery parameters, such as state of charge (SoC) and cycle number (as a proxy for state of health). This approach allows NEVORA to move beyond traditional equivalent-circuit fitting and instead provide fast, automated, and interpretable diagnostics directly from experimental data.
Performance
The results obtained so far with solid-state batteries demonstrate the exceptional performance of this methodology. Using Random Forest and Gradient Boosting models, NEVORA achieves prediction accuracies with coefficients of determination (R²) above 0.99 for both SoC and cycle number. Mean absolute errors remain below 1%, highlighting the robustness and reliability of the approach.
Coefficient of determination
R² > 0.99
Mean absolute error
< 1%
Impact
Overall, the integration of machine learning into NEVORA provides a new route toward real-time, data-driven battery diagnostics that is both accurate and scalable. By combining advanced electrochemical measurements with artificial intelligence, NEVORA enables rapid assessment of battery performance and degradation, opening the door to smarter battery management systems and accelerated development of next-generation solid-state batteries.
